nene مشرف عام 26 ديسمبر 2015 #42 شكرا بزاف عندك الحق انا عني مانيش نقرا كامل التعديل الأخير: 26 ديسمبر 2015
fouzib مشرف المنتدى الإسلامي طاقم الإدارة 27 ديسمبر 2015 #50 اين انتم اريد مبادرة منكم انا لا ارى اي حماس ان شاء الله نبداو هكا نهايات نزيدو شوية نولو نحلو لي باك هيا وين راكم ؟؟
اين انتم اريد مبادرة منكم انا لا ارى اي حماس ان شاء الله نبداو هكا نهايات نزيدو شوية نولو نحلو لي باك هيا وين راكم ؟؟
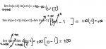
fouzib مشرف المنتدى الإسلامي طاقم الإدارة 30 ديسمبر 2015 #54 كاين بيناهم اشارة فرق استخدمي الخصائص تاع اللوغاريتمية تولي كسر. امبعد استخدمي نهاية تاع مؤكب دالة تخرج فالنهاية Lim x→1 ln x =0
كاين بيناهم اشارة فرق استخدمي الخصائص تاع اللوغاريتمية تولي كسر. امبعد استخدمي نهاية تاع مؤكب دالة تخرج فالنهاية Lim x→1 ln x =0